Skip to content
Euan's GIS Projects
An online portfolio of recent GIS projects I have undertaken
Menu
+
×
expanded
collapsed
Home
About
Blog
MSc Dissertation
Contact
Past Projects
Previous Image
Next Image
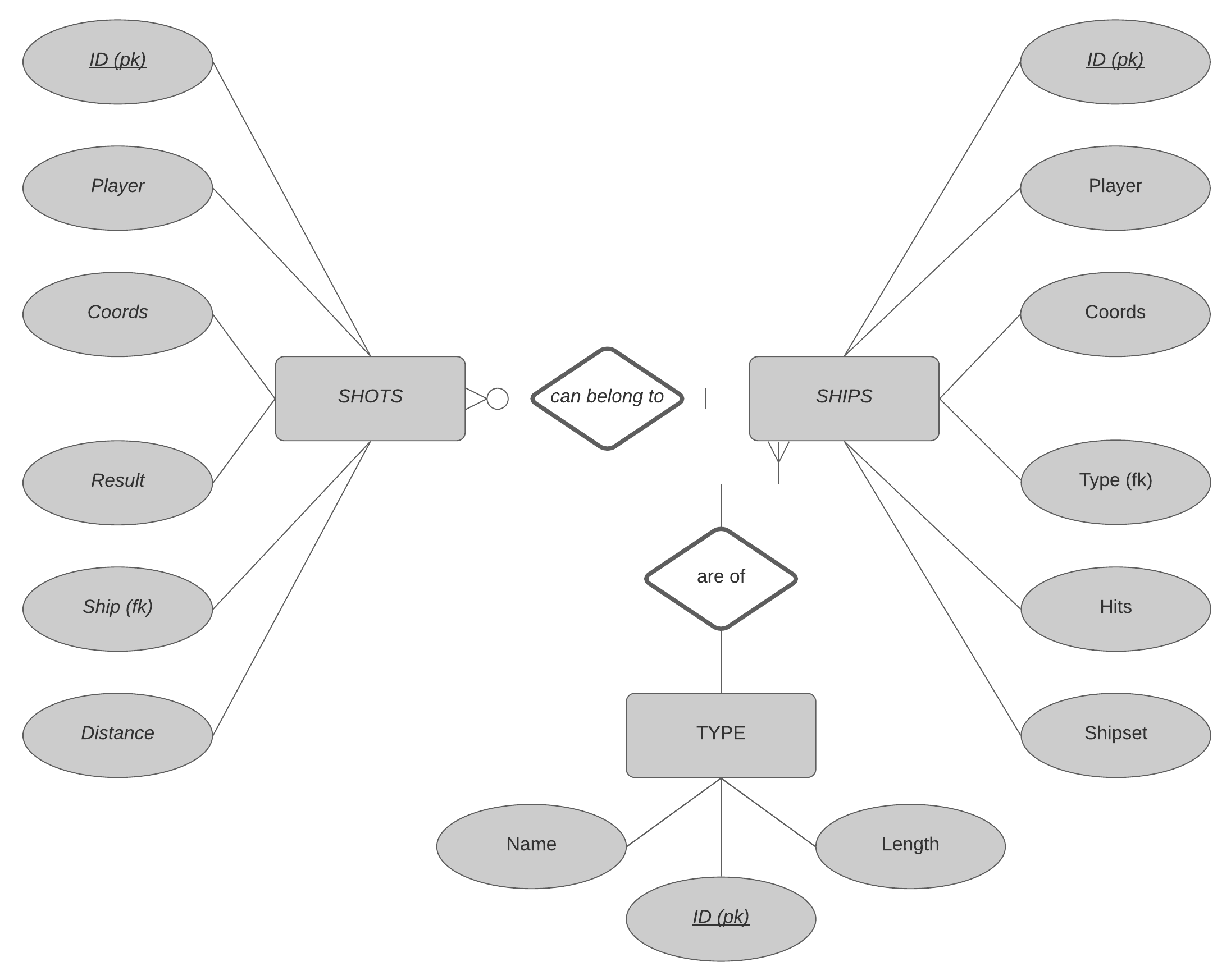
er-diagram
Post navigation
Published in
er-diagram
Leave a comment
Cancel reply
Δ
Comment
Subscribe
Subscribed
Euan's GIS Projects
Sign me up
Already have a WordPress.com account?
Log in now.
Euan's GIS Projects
Subscribe
Subscribed
Sign up
Log in
Copy shortlink
Report this content
View post in Reader
Manage subscriptions
Collapse this bar